一、应激——养殖的万病之源!
在水产养殖中,养殖户最头疼的不是单一病害,而是潜伏在日常的“隐形杀手”——应激。水温骤变、氨氮超标、拉网运输,甚至饲料营养失衡,都可能触发应激反应。从初期的烦躁窜游、拒食减料,到后期的免疫崩溃、病害爆发,应激如同多米诺骨牌,一步步摧毁养殖收益。
应激是万病之源!对于结构较为简单、免疫系统相对较差的对虾而言,抗应激也是减少病害的重要方式之一。
对虾遭遇应激时,体内会启动一系列有害连锁反应,形成“细胞损伤链”:
动物机体的抗氧化系统包括非酶系统和酶系统。在饲料中应用大家往往关注维生素E、维生素C、一些酚类等非酶系统抗氧化剂的补充。酶系统包括铜锌超氧化物歧化酶、锰超氧化物歧化酶、谷胱甘肽过氧化物酶、过氧化氢酶等抗氧化酶等。传统抗应激产品维生素C、E、多酚类等只能清除部分自由基,却无法阻断后续的内质网应激和代谢紊乱,它的作用更多是“防御”,面对强力的、多因素的复合型应激,它需要“帮手”微量元素来共同分担压力、协同增效!
而最新研究发现,微量元素锰的特殊形态—羟基蛋氨酸螯合锰(Mn-MHA),能够从细胞层面为对虾构建“防御屏障”,借助强化抗氧化、缓解内质网应激、调节脂质代谢等作用,为对虾构筑了一道“细胞级抗逆防线”,从“细胞损伤链”的源头介入,全方位对抗应激损伤,成为应对应激的“核心武器”。
二、羟基蛋氨酸锰:3重机制,给对虾“抗逆超能力”
(一)文献来源:《Dietary hydroxymethionine-chelated manganese improved growth and Mn deposition, regulated lipid metabolism and enhanced antioxidant capacity by reducing endoplasmic reticulum stress and autophagy for juvenile Litopenaeus vannamei》饲料中羟基蛋氨酸锰通过减轻内质网应激和自噬改善凡纳滨对虾幼虾生长、锰沉积,及调节脂质代谢2025年
(二)作者及单位:李淑琴1,张璐2,陈效儒2,周歧存1等(宁波大学,成都通威)
(三)试验目的:养殖水体锰无法满足对虾快速生长需求,有机锰相比无机锰生物学利用率更高,本试验旨研究饲料不同水平羟基蛋氨酸锰对对虾幼虾的生长等的影响
(四)试验设计:6个锰水平处理,凡纳滨对虾,1.06±0.02g/尾,试验8周
(五)试验设计及结果摘要图:
(六)试验结果:
6.1 改善生长性能
30.69 mg/kg 锰组表现出最佳的末重、增重率和特定生长率,通过双斜率断线回归分析,得出最适饲料锰需求量为30.90 mg/kg(羟基蛋氨酸锰)。
6.2 增加锰沉积
肝胰腺、甲壳和肌肉中的锰含量随饲料羟基蛋氨酸锰水平升高而增加,其中肝胰腺中锰含量最高,说明其为锰代谢的主要器官。
6.3 调节脂质代谢
30.69 mg/kg 锰组血清中TG和T-CHO含量最高。基因表达显示:脂质合成基因(fas、acc1、6pgd)表达上调;脂肪酸转运基因(fabp、fatp)表达增强;脂解基因(cpt1、acox1、hsl)表达下调。
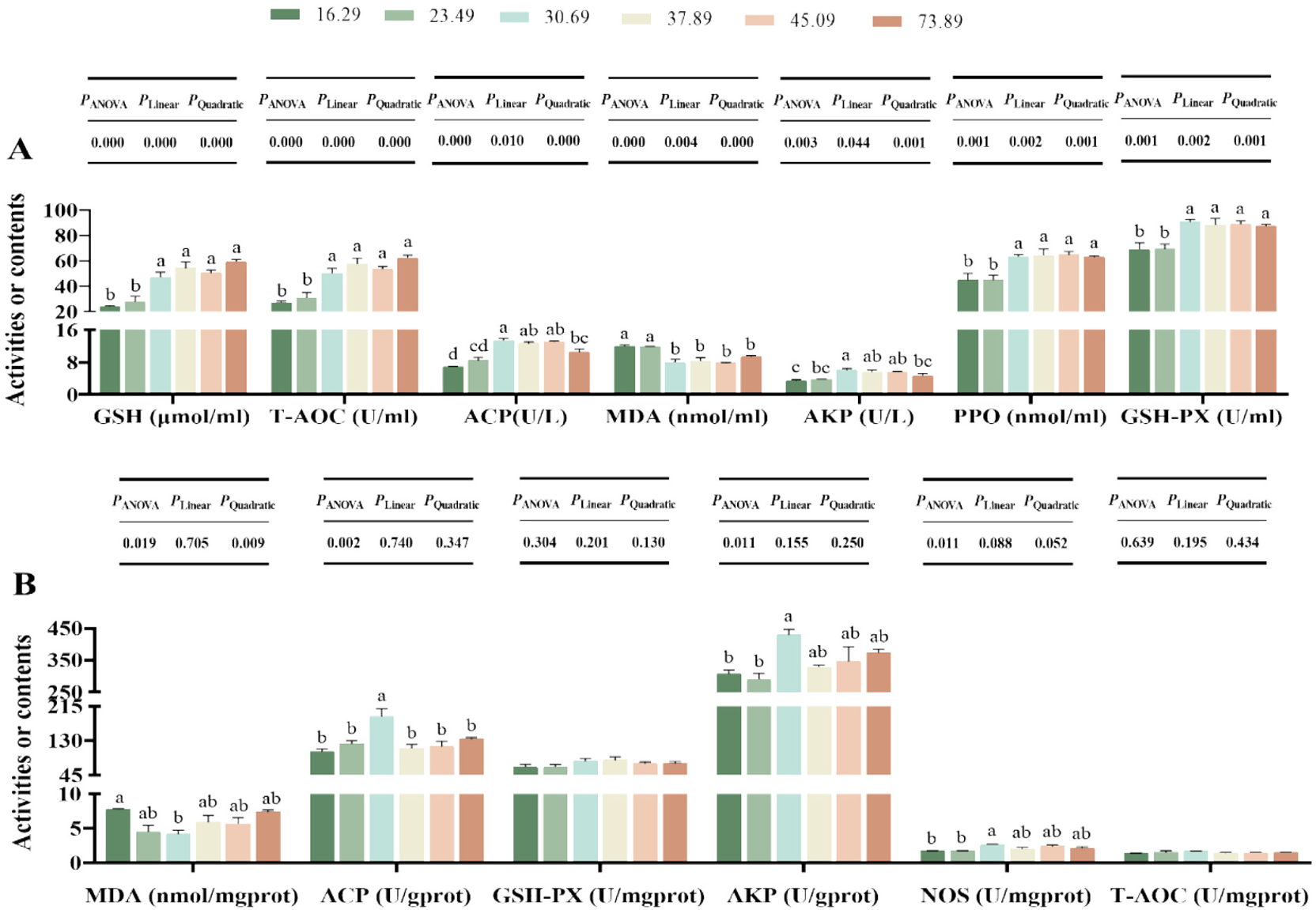
6.4 增强抗氧化与免疫抗病能力
30.69 mg/kg 锰组血清和肝胰腺中抗氧化酶(GSH-PX、T-AOC)活性最高,免疫酶(ACP、AKP、NOS)活性也显著增强、MDA(脂质过氧化产物)含量最低。
6.5 降低内质网应激与细胞凋亡
低锰组(16.29 mg/kg)内质网应激相关基因(eif2α、perk、atf4、atf6)表达显著升高;30.69 mg/kg 锰组这些基因表达最低,说明锰可缓解内质网应激;细胞凋亡相关基因(p53、caspase3、sirt6)在低锰组表达升高,而在30.69 mg/kg 锰组显著下调;抗凋亡基因(bl-1)在30.69 mg/kg 锰组表达上调。
(七)研究结论

兴嘉生物作为羟基蛋氨酸螯合物技术的开创者,公司拥有:
